使用示波器分析射频雷达脉冲
分析射频脉冲是脉冲雷达应用中的一个重要方面,此类应用包括空中交通管制 (ATC)、海上雷达或科学电离层测量。用户必须分析时域内的脉冲包络,因为它包含对应用进行特征校准的重要信息。R&S®RTO 数字示波器是一种非常实用的测量仪器,可用于分析脉冲特性。
分析射频脉冲是脉冲雷达应用中的一个重要方面,此类应用包括空中交通管制 (ATC)、海上雷达或科学电离层测量。用户必须分析时域内的脉冲包络,因为它包含对应用进行特征校准的重要信息。R&S®RTO 数字示波器是一种非常实用的测量仪器,可用于分析脉冲特性。
您需要测量雷达射频脉冲的频率、上升/下降时间、脉冲重复间隔 (PRI)、脉宽以及幅度,以确定它们是否符合您的要求 (Richard, Mark (2013): Fundamentals of Radar Signal Processing. 2. Edition: McGraw-Hill Companies)。
您可以使用这些参数确定距离测量(通过 PRI)以及分辨率(通过脉宽)。您可以通过测量上升/下降时间得出频谱效率,并确保带内传输。此外,您需要分析脉间幅度变化。
R&S®RTO 数字示波器能够分析频率高达 6 GHz的射频脉冲。如果要分析射频脉冲的包络,必须解调信号。传统的调幅解调器进行信号整流并使用低通滤波器滤出射频成分,以便检测包络。低通滤波器会将一段时间内的信号平均化。这会造成解调信号的幅度与最初包络不匹配,
从而导致幅度测量不准确。用户可以得出线性校正系数,并用来校正测量。R&S®RTO 示波器配有 R&S®RTO 数学公式编辑器,提供非常强大的数学功能,便于用户对测量波形执行校正,以便得出正确的幅度读数。
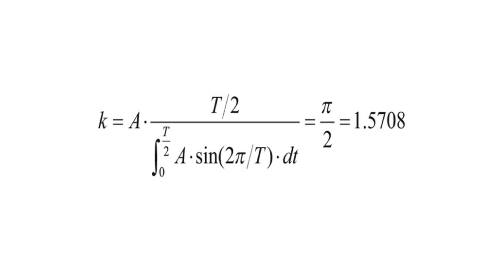
数学背景
线性校正系数 k 消除调幅解调器的影响。为计算系数 k,调幅解调器的低通滤波器使用正弦信号(图 1 蓝线)进行粗略估计,且周期为 T/2。
图 1 按正弦信号序列显示整流后的脉冲。平均能量与包络幅度之间的关系是固定的。前一半周期的积分(公式的分母)是平均能量,在图 1 中以矩形显示。通过计算正弦信号的幅度 A 与包络幅度之间的比率,可以得出系数 k。
积分后,周期 T 约去,得出单个值:

在低通滤波器公式中,使用系数 k 消除包络的实际幅度与所示幅度之间的幅度差。
以 ATC 雷达信号脉冲为例来说明应用。信号特征如下:
我们可以使用 R&S®RTO 分析此脉冲。图 2 显示 R&S®RTO 数学功能(公式编辑器)中的包络公式,所用校正系数为 k= π/2。
为了尽可能粗略估计出包络,必须优化低通滤波器的频率。在低截止频率下,波纹得到抑制,但稳定过程很慢。在更高的截止频率下,稳定过程更快,但波纹更大。本例中作了适当的折衷处理,截止频率 fcut= 50 MHz。在已知近似值 trise= 0.35/fcut= 0.35/(50 MHz) = 7.0 ns的情况下,可以分析上升时间大于 7.0 ns的包络。
在图 3 中,黄色波形表示已调制的载波,黑色波形表示计算出的校正后调幅包络。
测量计算值的理论误差 < 1.5%,这是因为所用低通滤波器对积分计算平均值取近似值。计算的包络用于正确测量调制脉冲的幅度、上升/下降时间和脉宽。图 3 右侧的测量结果框“Meas Results 1”显示射频脉冲的最终测量值。
历史模式可用于测量 PRI。单独的应用指南已经对此类测量作了描述(应用指南 1TD02《使用 R&S®RTO 示波器的历史模式进行高级信号分析》;M. Hellwig,T. Kuhwald)。
R&S®RTO 数字示波器能够在仪器的最高带宽下分析射频脉冲。射频脉冲分析涵盖频率、PRI、脉宽以及上升/下降时间等参数。计算的校正系数 k 可用于调整射频脉冲的幅度测量,以便获得正确的射频脉冲包络幅度。

图 3:上升射频脉冲侧面的缩放视图,将校正后的包络添加为黑色波形。