合成孔径雷达的宽带频谱测量
合成孔径雷达 (SAR) 使用雷达波长执行机载或星载地形测绘。SAR 地形图的分辨率取决于距离和跨距 SAR 处理分辨率。沿着飞行轨迹对一段时间内的脉冲进行积分运算,可以创建出合成孔径,从而确定跨距分辨率。合成孔径越长,跨距分辨率越高。距离分辨率取决于线性调频 (LFM) 雷达波形带宽。带宽越大,距离分辨率越高。
合成孔径雷达 (SAR) 使用雷达波长执行机载或星载地形测绘。SAR 地形图的分辨率取决于距离和跨距 SAR 处理分辨率。沿着飞行轨迹对一段时间内的脉冲进行积分运算,可以创建出合成孔径,从而确定跨距分辨率。合成孔径越长,跨距分辨率越高。距离分辨率取决于线性调频 (LFM) 雷达波形带宽。带宽越大,距离分辨率越高。
条带 SAR 测量的几何形状
孔径取决于飞机速度 (v) 和 SAR 积分时间 (tint)。对 tint 时间内的脉冲进行积分运算后,SAR 创建当前场景的地图,同时沿飞行轨迹对后续场景的脉冲进行积分运算。
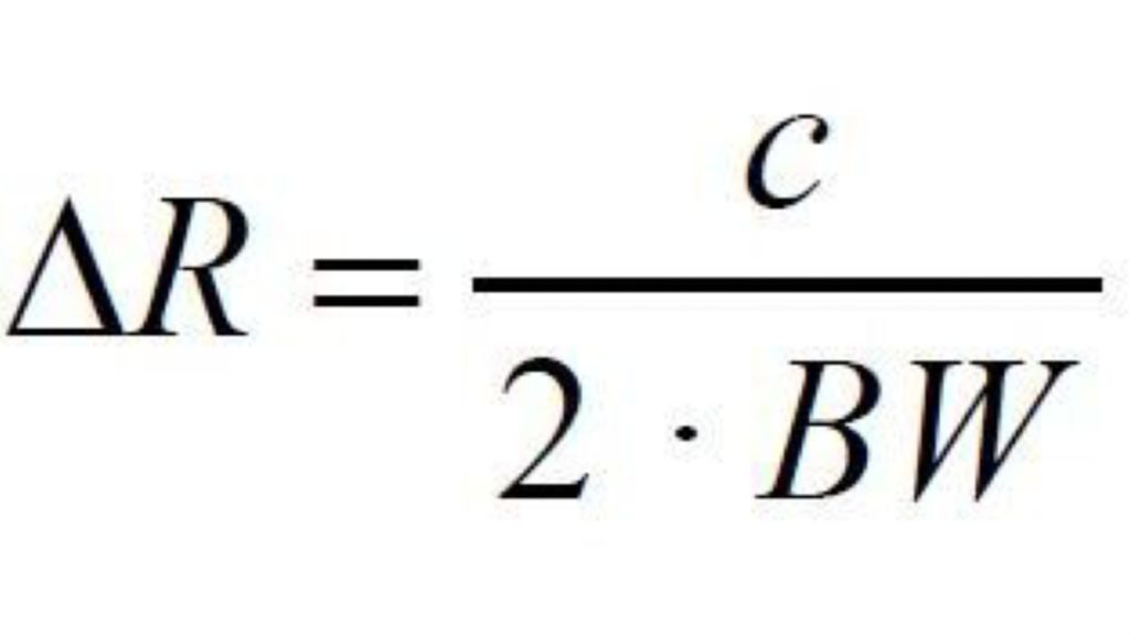
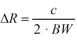
SAR 分辨率公式
距离分辨率 (ΔR) 根据以下公式算出:

其中,c 为光速,BW 为 SAR 波形中使用的 LFM 带宽。LFM 带宽越大,距离分辨率越高。距离分辨率通常需要达到亚米级。
跨距分辨率 (ΔCR) 根据以下公式算出:

其中,λ 为雷达波长,R 为相对于场景的距离,LSynth 为合成孔径的长度(等于飞机速度 (v) 乘以积分时间 (tint))。
使用 R&S®FSW 信号与频谱分析仪和 R&S®FSW-B8001 8.3 GHz 分析带宽选件测量的 8 GHz LFM 信号。线性调频带宽为 8 GHz,对应的 SAR 距离分辨率约为 2 cm。
应用和波段的专用 SAR 系统
SAR 适用于特高频波段、X 波段、W 波段和更高频波段。SAR 波长视具体应用而定。X 波段通常用于生成城市和冰雪地形的高分辨率 SAR 图像。大气吸收在 X 波段可以忽略,但在 K 波段会因水汽吸收而造成严重问题。特高频和 S 波段等波段非常适合测量生物量和植被。L 波段具有良好的树叶穿透性,适合古城或树冠下岩层的地球物理测量应用 [1]。94 GHz、140 GHz、220 GHz 和 235 GHz 毫米波波段可用于新颖奇妙的应用,例如视频合成孔径雷达可支持飞机在退化视觉环境中降落。这些 SAR 运用更大的波形带宽以实现更高的分辨率。
新型 SAR 和所有雷达应用越来越多地使用有源电子扫描阵列 (AESA)。AESA 一般是由发射/接收模块 (TRM) 组成的二维阵列。每个 TRM 包含环行器、功率放大器、移相器和开关。数字波束成形器以电子方式控制 TRM,并确定各个 TRM 或 TRM 子阵列的适用幅度和相位。波束成形器还应用汉宁窗等孔径渐缩函数以减少束宽和旁瓣。根据稳定相位参考确定的接收机/激励器为阵列馈送信号。雷达回波可以和相位参考比较相位以测量多普勒频移。
TRM 可用于上述所有毫米波波段,并开发用于磷化铟 (InP)、氮化镓 (GaN)、硅锗 (SiGe) 和硅等各种材料。
相较于使用网络分析仪探测 TRM 以及紧密集成 AESA 和雷达接收机/激励器,空口 (OTA) 测试方法更加简单,逐渐被系统级雷达测试所采用。典型的 OTA 测试装置如下所示,其中天线测试暗箱中放置了一个雷达。测量设备是一个连接到 R&S®FSW 信号与频谱分析仪的标准增益喇叭天线。
R&S®FSW 信号与频谱分析仪具有一流的内置分析带宽,可在大部分 W 波段中进行 SAR 测量。分析仪在 12 GHz 至 18 GHz 的频率范围内提供 4.4 GHz 带宽,在 18 GHz 以上的频率范围内提供 6.4 GHz 或 8.3 GHz 带宽,能够进行包含预选、镜频抑制和可扩展矢量信号分析的扫频测量、脉冲分析和瞬态分析。
使用 R&S®FSW-K6 脉冲测量应用的 R&S®FSW-K6S 选件对脉冲 LFM 波形进行时间旁瓣分析。
对于脉冲雷达测量任务,使用 R&S®FSW-K6 脉冲测量应用测量幅度、脉冲宽度、脉冲重复间隔 (PRI)、频率和相位。这些测量的统计数据可以显示 Skolnik 先生在《雷达手册》[2] 中讨论的脉间不稳定性。罗德与施瓦茨的《脉冲相位噪声测量》应用指南 [3] 讨论了相位噪声引起的脉间相位不稳定性。
除了脉间统计数据之外,R&S®FSW-K6 还提供 R&S®FSW-K6S 时间旁瓣测量选件以测量雷达脉冲的相位非线性,从而发现阵列或数模转换器 (DAC) 上行组件中的问题。DAC 的积分非线性 (INL)、功率放大器的调幅调频转换或 TRM 的 PIN 开关可能导致线性调频 (LFM) 信号的非线性。罗德与施瓦茨的应用说明《时间旁瓣测量优化雷达系统性能》(PD 3607.2626.92) [4] 解释了这种现象。
R&S®FSW-K60 瞬态分析应用在罗德与施瓦茨应用指南《自动测量 77 GHz FMCW 雷达信号》[5] 中作了说明,并可用于分析 SAR 的宽带调频连续波波形。
R&S®FSW 信号与频谱分析仪有助于对下一代 SAR 进行扫频分析,支持预选和镜频抑制时适用频率范围高达 85 GHz,无预选时频率范围高达 90 GHz。借助可扩展带宽选件,分析仪在 12 GHz 至 18 GHz 的频率范围内提供 4.4 GHz 带宽,在 18 GHz 以上的频率范围内提供 6.4 GHz 或 8.3 GHz 带宽。内置测量应用可对高分辨率 SAR 宽带波形进行统计和波形分析。
参考
[1] 本文由 Kelsey Herndon、Franz Meyer、Africa Flores、Emil Cherrington 和 Leah Kucera 与 Earth Science Data Systems 期刊合作发布。图像由 Leah Kucera 提供。发表于 2020 年 4 月 16 日。题为“什么是合成孔径雷达?”(What is Synthetic Aperture Radar?)。NASA Earthdata。检索于 2020 年 11 月 15 日,网址为 earthdata.nasa.gov/learn/what-is-sar
[2] Skolnik, Merrill I(2008 年 1 月 22 日)。《雷达手册》(Radar Handbook) 第三版。纽约:McGraw Hill 出版社
[3] Gheen, Kay(2016 年 5 月 11 日)。应用指南 1EF94《脉冲相位噪声测量》。罗德与施瓦茨。www.rohde-schwarz.com/appnote/1EF94
[4] 应用说明《时间旁瓣测量优化雷达系统性能》(PD 3607.2626.92,2020 年 12 月)。罗德与施瓦茨。www.rohde-schwarz.com/applications/time-sidelobe-measurementsoptimize-radar-system-performance-application-card_56279-134857.html
[5] Heuel, Steffen 博士(2014 年 5 月 5 日)。应用指南 1EF88《自动测量 77 GHz FMCW 雷达信号》。罗德与施瓦茨。https://www.rohde-schwarz.com/applications/automated-measurements-of-77-ghz-fmcw-radar-signals-application-note_56280-59841.html