Validating RF frontends for satellite links

How to ensure low group delay for highly integrated RF frontends including upconversion, amplification and the antenna in an over-the-air (OTA) environment.

OTA test environment
OTA test environment with RF instrumentation and measurement system in a shielded chamber.

Your task

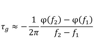
Group delay (GD) is a critical parameter in satellite payloads and radar systems, directly impacting overall system performance. Although several antenna group delay measurement methods exist, most overlook the challenges posed by frequency conversion chains commonly used in these applications. Precise measurement and design for low group delay variation are essential to ensure reliable communications, accurate navigation and coherent radar signal processing with robust target location. Group delay measures the time a signal envelope takes to pass through a device such as a filter, amplifier or mixer across its bandwidth. GD is defined as the negative slope of the forward transmission phase φ.

The GD is practically calculated using the following approximation looking at the phase difference for two different frequencies f1 and f2:

Formula

For frequency-translating devices, this is further complicated by the different IF and RF frequencies for which there is no default phase relationship given in the measurement setup across the frequencies.

DUT mounted on the positioner facing the CATR reflector
DUT mounted on the positioner facing the CATR reflector.

Rohde & Schwarz solution

How to measure GD in an OTA environment

A two-tone GD measurement approach is supported in the R&S®ZNA vector network analyzer (VNA), which is suitable for multi-stage mixers and independent of the frequency and phase stability of the internal local oscillator (LO) of the device under test (DUT). This technique requires a calibration with a known mixer with LO access and pre-specified GD, however, which limits its application to the specific frequency-conversion scheme of the calibration mixer.

In antenna measurements, the VNA is typically calibrated separately – the calibration is only carried out at the complete system level using a substitution method with two identical antennas or three antennas.

A more flexible alternative is a new solution with a twostage calibration procedure for the OTA setup. First, the VNA is calibrated as a standalone instrument, and then the complete antenna measurement system is calibrated. In addition to open, short, match (OSM) calibration, VNA calibration employs a comb generator as a harmonic phase reference (HPR). This enables broadband error correction of the VNA, and takes into account non-idealities introduced by possible internal frequency-conversion schemes in the instrument. This is a major simplification when compared with a traditional calibration mixer, which only works for its designed band.

As a standard, the R&S®ZN-ZCG comb generator is used. It provides a phase characterized spectrum with a known phase relation between each of the frequency comb lines. The calibration is fully automated in the R&S®ZNA vector network analyzer and performed on one port only. After calibration, the standard is removed and all ports offer phase calibration across the full calibrated frequency range.

This is accomplished using the R&S®SMARTerCal concept, which combines information from system error correction for all ports with information from the phase calibration with the comb generator derived from one port. This significantly reduces calibration time and effort.

Simple calibration setup
Calibration setup on one receive port for defined phases across the full frequency range and at all ports.

Verification of the test approach in an OTA system

The validation runs in an MVG chamber using a large compact antenna test range (CATR) reflector offering a wide quiet zone of more than 1 m by 1 m. The DUT is a parabolic reflector antenna also from MVG plus a mixer from Rohde & Schwarz as downconverter. The LO frequency is 22 GHz, and the RF frequency ranges from 23 GHz to 31 GHz, resulting in an IF of 1 GHz to 9 GHz.

For the purpose of validation, two DUT variants are used: the passive antenna under test (PAUT), which is the antenna plus an attenuator, and the active antenna under test (AAUT), which is the PAUT plus a mixer. A block diagram of the complete test setup is shown in the figure “Measurement setup”.

After calibration, the S-parameters of the mixer were measured using a time gated approach, which extracts the mixer-only contribution in the OTA setup. This was compared with a standalone conducted mixer measurement showing a close match (see figure “Comparison of S21 between a conducted and time-gated OTA measurement”).

In the validation process, the group delay of the PAUT alone was measured and compared with simulated data also showing a very close match. This was necessary to validate the final complete GD measurement (in blue) of the antenna together with the mixer (AAUT) to overlay the measured GD of the PAUT (in light blue) with the GD of the mixer as a reference, summed up (in red) marked AAUT (see figure “Group delay of antenna and mixer (AAUT)”).

Summary

The setup using the R&S®ZNA vector network analyzer together with the R&S®ZN-ZCG comb generator makes it possible to perform group delay measurements of frequency translating devices in an OTA environment. Using the comb generator as a harmonic phase reference (HPR) enables a general calibration of the VNA for all frequency-converting schemes with an understanding of the phase relationship between different frequency contributions. This methodology is suitable for measuring advanced and integrated RF frontend devices, including active antennas with embedded LO and/or multipliers on the RF and/or IF path.

Measurement setup
Measurement setup with the R&S®ZNA, the CATR feed antenna and reflector, as well as AAUT with mixer receiving.
Comparison of S21 between a conducted and time-gated OTA measurement
Comparison of S21 between a conducted and time-gated OTA measurement. The figure shows excellent agreement.
Group delay of antenna and mixer (AAUT)
Group delay of antenna and mixer (AAUT)

请求信息

Do you have questions or need additional information? Simply fill out this form and we will get right back to you.
For service/support requests, please go here to log in or register.

推广许可

你的申请已提交,我们稍后会联系您。
An error is occurred, please try it again later.