射频端口阻抗验证
匹配良好的射频端口是所有射频系统的重要组件。例如,匹配端口可防止放大器输出端口出现反射功率过载。这种无用反射功率会损坏整个放大器。匹配端口还可以尽量提高功率传输,有效延长用于物联网 (IoT) 等领域的无线产品的电池寿命。
匹配良好的射频端口是所有射频系统的重要组件。例如,匹配端口可防止放大器输出端口出现反射功率过载。这种无用反射功率会损坏整个放大器。匹配端口还可以尽量提高功率传输,有效延长用于物联网 (IoT) 等领域的无线产品的电池寿命。
在射频领域,单端组件的特性阻抗有两个标准值:
50 Ω 和 75 Ω。大多数电缆、连接器和射频组件都符合其中一个数值。75 Ω 常见于(有线)电视应用,因为这一数值接近射频衰减最低的阻抗值 77 Ω。50 Ω 均衡了高功率传输能力 (30 Ω) 和低衰减。但是,重点在于确保所有组件具备相同的阻抗值。
实现最大功率传输
根据功率传输定理,实现最大功率传输的关键在于将源阻抗 Z0 与负载阻抗 ZL 进行匹配。在匹配的情况下,ZL 与 Z0 相等。
降低射频功率反射
端口匹配程度可以用三个参数表示:
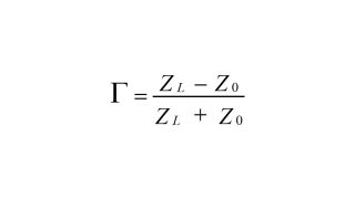
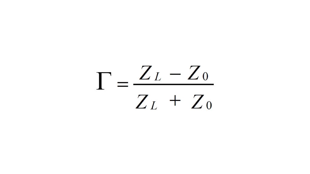
1. 反射系数
反射波相对于入射波的百分比用 Γ 表示:

源和负载完美匹配时 Γ = 0;全反射时 |Γ| = 1。
2. 电压驻波比 (VSWR)
反射也可以使用电压驻波比 (VSWR) 表示:

VSWR 用于衡量功率的传输效率。如果 VSWR = 1,则表示功率传输一流,无任何反射;数值越高,则表示阻抗匹配的改进余地越大。反射功率越大,传输功率越小,会导致不必要的电池消耗。这还会损坏信号源。
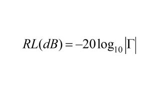
3. 回波损耗
反射也可以用回波损耗表示:

回波损耗用于衡量端口的匹配程度。回波损耗越高越好。相较于 VSWR,回波损耗能够更好地测定匹配特性是否良好,因此更常用于表示反射。
您可以通过史密斯圆图直观显示负载匹配的测量情况。史密斯圆图功能出色且久经验证,非常适用于查看匹配特性。它以图形方式显示电阻部分(电阻圆图)和电抗部分(电抗圆图)的阻抗,其中上半圆内为感抗,下半圆内为容抗。图上的每一个点都代表与特定频率相关的阻抗。这些数值可表示为复杂等式 Z = R ± jX。电阻部分由实部项 R 表示,电抗部分由虚部项表示。
在传统的史密斯圆图中,电阻从 0(圆图最左侧)上升到无穷大(圆图最右侧)。史密斯圆图的上半圆显示 jX 正值,表示阻抗为感抗;下半圆内数值为负,表示阻抗为容抗。请注意,史密斯圆图会根据所用设备归一化为参考阻抗(50 Ω 或 75 Ω)。
选择正确组件并通过测量进行验证,是实现良好阻抗特性的简单方法。要执行此类测量,简单的方法是使用带史密斯圆图显示功能的矢量网络分析仪 (VNA)。R&S®FPC1500 具有三位一体的特点。它是功能强大的经济型频谱分析仪,可提供独立的信号源。同时,它也是带集成式 VSWR 电桥的单端口矢量网络分析仪。内置史密斯圆图显示和标记功能会根据所选阻抗系统自动将归一化电阻转换为欧姆值。
为了补偿电缆和连接器的影响,需要在测量平面(即耦合网络位置和网络分析仪电缆之间的接口)进行校准。手动校准需要手动切换开路器-短路器-负载标准件,既容易出错又耗时。R&S®ZN-Z103 校准单元可自动切换标准件。这有助于减少连接错误,并将校准时间缩短到几秒。
首先设置测量条件,包括所需频率范围、分辨率带宽和测量点数量。然后,将 R&S®ZN-Z103 连接到 R&S®FPC1500 的 USB 端口。仪器会自动识别校准单元。接着,将同轴电缆的两端分别连接到 R&S®FPC1500 的输出端口和校准单元。依次按下“Calibrate”(校准)、“Full 1-port”(全单端口)。仪器现已完成校准,可以检测被测设备。
以下屏幕截图显示了 2.4 GHz ISM 频段内 VSWR、回波损耗和史密斯圆图的结果示例:



为了尽量降低损耗或反射功率并延长电池寿命,验证射频端口是一个重要步骤。这还可以防止组件过热或出现永久损坏。R&S®FPC1500 功能强大、使用简单且经济高效,非常适用于此类验证任务。