Enhance frequency translating measurements
Overcome phase uncertainty for different measurement frequencies in mixer or upconverter and downconverter validation for reliable group delay measurements.
Overcome phase uncertainty for different measurement frequencies in mixer or upconverter and downconverter validation for reliable group delay measurements.
Your task
New communications systems are using higher frequencies to access wider bandwidths for faster Wi-Fi and higher mobile communications data rates for next generation 6G and satellite links. The higher frequencies limit direct RF synthesis. Mixing concepts can help translate IF signals to the target RF frequency. A solid understanding of how phases convert from IF to RF is essential to the beamforming in satellite communications. Digital beamforming controls the phase in the IF for different beam directions in the RF.
You need to understand how phase translates from IF to RF. The traditional approach uses a well-defined reference mixer (golden mixer) so that the vector network analyzer (VNA) can measure at a common frequency with stable phases at different test ports. The complete setup depends on the stability of the reference mixer and its previous characterization.
Rohde & Schwarz solution
An easy-to-use calibration tool is needed for phases at different frequencies. Depending on the calibration, the DDS-based source architecture in the VNA can adjust phases as needed for every frequency. The R&S®ZN-ZCG comb generator for 44 GHz or 67 GHz frequency coverage is just such a tool to be used with the R&S®ZNA vector network analyzer family. The calibration device comes fully characterized and is traceable to National Institute of Standard and Technology (NIST) standards for maximum accuracy. The standards are called harmonic phase reference (HPR). Internally, the reference generates a pulsed signal for inherent phase coherence between the comb lines in the frequency domain. The ability to adjust the harmonic frequency grid lets users match the step size of the VNA to the grid to improve measurement accuracy.
Higher spacing reduces the calibration time while providing more power per comb line. The flexibility ensures best adaptation to the use case.
The VNA calibration for the R&S®ZNA is simplified for the user. The process is fully integrated in the R&S®ZNA calibration menu and adds an additional step to the normal VNA calibration such as open, short and match (OSM). All controls and data exchange for the reference data is handled automatically from the VNA front panel. Calibration is only needed at one port thanks to the R&S®SMARTerCal feature in the R&S®ZNA vector network analyzer, a major factor to the user experience. As with any other calibration unit, the R&S®ZN-ZCG comb generator can be removed after calibration leaving all ports available for measurements.
Phase relation for a mixer in upconverting scenario
Deploying calibrated phase measurements
Calibrating the R&S®ZNA vector network analyzer with the R&S®ZN-ZCG comb generator as enhanced calibration standard for phase, simplifies measurement setups as shown in the comparison below. The phase relationship for a mixer used for upconversion or downconversion can be determined.

The R&S®ZN‑ZCG phase reference is part of the step-by-step R&S®SMARTerCal calibration wizard
Application
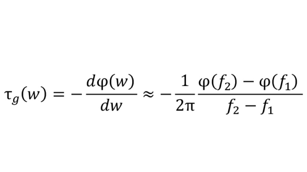
Group delay τ𝑔 is widely used to determine the linearity of a mixer across the bandwidth of interest. The delay is defined as follows and can be described as the second term:

Group delay measurement of a mixer
It is basically the phase difference at various frequencies as the signal travels through a device. The different frequencies on the mixer ports add an additional layer of complexity with a wider frequency spread. The absolute phases must be known when measuring absolute group delay. Calibration with the R&S®ZN-ZCG comb generator allows accurate phase measurements across the IF and RF bands of the mixer for reliable group delay measurements.
The graph (right side) shows an example of a calibration mixer commonly used in the traditional approach as test device and displays very stable results.
Stepped local oscillator (LO) sweeps for enhanced test speeds based on one-time calibration with the R&S®ZN-ZCG comb generator is now possible – something the golden mixer approach did not allow.
Summary
The R&S®ZN-ZCG comb generator makes the absolute calibration of a VNA for phases across frequencies for mixer measurements simple and easy. In addition, it can also offer enhanced insights for harmonics of any active device.
Comparison of a traditional setup with reference mixer...versus a simplified setup
Traditional setup with reference mixer for phase and group delay measurements.
The LO for the mixers can be provided by the LO output on the rear side of the R&S®ZNA with R&S®ZNA-B8 option.
Simplified mixer test setup after calibration with the R&S®ZN-ZCG comb generator for phase and group delay. For a 2-port instrument, the LO can be sourced from an optional output coming with the R&S®ZNA-B8 option.