表征天线罩和保险杠所用聚合物的材料特性以优化雷达透明度
自主和半自主车辆通过复杂的硬件和软件架构收集和利用多个雷达传感器传输的信息。为了生成可靠的数据,传感器需清楚探测周围环境。传感器前方安装的保险杠或天线罩不可影响雷达功能。这需要对所用塑料零件及其底层聚合物结构进行各种测试。R&S®QAR50 非常适合在早期设计阶段和材料开发的质量控制阶段表征聚合物的材料特性及其对雷达信号质量的影响。
自主和半自主车辆通过复杂的硬件和软件架构收集和利用多个雷达传感器传输的信息。为了生成可靠的数据,传感器需清楚探测周围环境。传感器前方安装的保险杠或天线罩不可影响雷达功能。这需要对所用塑料零件及其底层聚合物结构进行各种测试。R&S®QAR50 非常适合在早期设计阶段和材料开发的质量控制阶段表征聚合物的材料特性及其对雷达信号质量的影响。
应用
优化保险杠和天线罩所用聚合物的成分,涉及多方面的挑战。例如,这些材料须完善地平衡轻质结构、外观、功能和灵活设计之间的关系。汽车中使用的雷达日益增多,保险杠和天线罩所用聚合物的材料特性正成为影响雷达整体性能的关键因素,新要求也随之出现。材料的反射和失配问题会导致雷达和保险杠/天线罩之间出现反射,从而产生传感器盲区和幽灵目标。因此,必须从一开始就优化汽车外部所用聚合物的成分以保证雷达透明度(见图 1)。了解聚合物如何在汽车电子雷达范围内反射、透过和/或吸收射频能量,有助于选择更好的材料。
通常而言,测量主要是为了表征材料的介电常数。介电常数决定材料内传输信号的波长压缩。如果材料厚度适宜,材料内会产生多个半波长。这是因为空气和材料交界处发生相消干涉,从而尽可能地消除了反射。
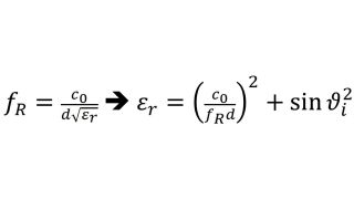
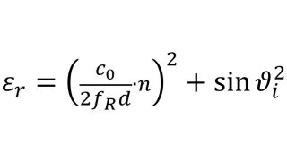
如要确定相对介电常数 (εr),必须知道材料样本的电厚度。计算出谐振频率后可以确定 εr。

由于雷达信号的入射角不同,因此上式中需要包含一个校正项。相对介电常数可通过下式确定:

ϑi 表示平均入射角,并包含在校正项中。这表示材料中的半波长数量。
假设样本的电厚度为 2λ,则通过如下公式获得相对介电常数:

材料制造商可以优化 εr 值以及反射和传输损耗最小值的锐度。这需要在开发过程中不断计算介电常数,并分解反射和传输损耗最小值。这种标准化程序还可以重复优化多层系统(例如喷漆)的影响,以在早期开发阶段避免雷达和保险杠/天线罩之间产生不利影响(见图 2)。
尤其需要注意的是,金属漆可能会增加多种不确定因素。金属颜料相当于导体,其中的电子被绝缘体隔开。电磁波激使电子在金属内部振荡,引起金属表面出现偏振并大幅提高介电常数(见图 5)。
您需要快速地连续重复所有步骤,因此需要利用简单的测量方法来获得稳定可靠的结果。使用射频信号进行材料测量,可提供多种重要优势。首先,这种测试方法不会损坏材料,这也是最重要的一个优势。在许多情况下,我们希望可以获取材料信息而不损坏材料。另一个重要优势在于,当材料发生各种物理、机械、热或化学变化时,射频信号仍可以进行材料测量。使用射频信号的材料测量方法侧重于确定材料的相对介电常数。
使用矢量网络分析仪 (VNA) 可以确定相对介电常数。VNA 按如下所述方式测量传输和反射。有关详细信息,请参阅本应用说明第 5 页列出的参考文档。
自由空间法是一种无损测试方法,适用于 76 GHz 高频雷达频段。这需要使用支持此频率范围的 VNA 系统(包括校准套件)。相应装置较为复杂,操作人员需要掌握详实的 VNA 知识,以便获得可靠且可重复的结果。矢量网络分析仪在选定的操作点执行测量,因此即使是轻微的角度偏差也会对测量值产生较大影响。这种方法还存在另一个限制条件,即材料样本需要相对较大且平坦,才能恰当地被天线照亮。
车辆外部组件所用聚合物的材料特性表征变得日益重要,为此罗德与施瓦茨开发了 R&S®QAR50 高质量汽车电子天线罩测试仪。
R&S®QAR50 非常适用于在从研发到生产线末端 (EOL) 的所有产品阶段在汽车电子雷达频率范围内准确测试天线罩和保险杠的质量。它利用数百个接收和发射天线以快速测量材料、天线罩和保险杠的特性。微波成像技术支持电子聚焦,能够更加灵活地定位被测设备。R&S®QAR50 具备两组天线集群,并支持自定义频段。它可以测量单向传输损耗、双侧反射(相对于上下集群)和传输相位,测量周期不足 4 秒。结果可直接与通过自由空间测量方法使用矢量网络分析仪获得的结果进行比较(见下表)。
| 传统方法 | 罗德与施瓦茨方法 |
|---|---|
需要:
|
需要:
|
| 射频测量设备昂贵且复杂 | 经济实惠,易于使用 |
| 测量程序复杂,校准和测量时间长 | 4 秒内即可提供测量结果 |
| 射频工程师需经过培训 | 无需掌握射频知识 |
| 适用于研发 | 适用于研发和生产 |
测量装置
材料表征程序包括以下步骤:
研究涂层或底漆对被测样本的传输和反射特性的影响时,添加面漆会对这两个变量产生明显的不利影响。因此,我们还建议在最终完成涂漆后进行测量。
R&S®QAR50 测量被测设备上特定区域在频段 1 和频段 2 中的平均反射和传输损耗值,并显示测量数值。
仪器设置
R&S®QAR50 配有两个天线集群,可在 76 GHz 至 77 GHz 和 76 GHz 至 81 GHz 频段(频段 1 和频段 2)同时测量标准单向传输损耗和相对于上下集群的反射。
表征塑料材料时,精简的用户界面清楚显示必要信息。操作人员无需掌握详实的射频知识,即可使用简单的菜单导航操作天线罩测试仪。测试仪显示反射和传输损耗的数值结果,并提供有关被测设备定位的信息。操作人员无需掌握专业的射频知识,即可轻松解读测量结果。
R&S®QAR50‑K10 选件提供 72 GHz 至 82 GHz 的频率范围,并显示所测反射和传输损耗的频率响应。
如要确定相对介电常数,需要显示汽车电子雷达频段中相对于频率的反射和传输损耗。R&S®QAR50‑K10 选件可用于显示 72 GHz 至 82 GHz 频率范围内反射和传输损耗的频率响应。
配备 R&S®QAR50‑K10 选件后,R&S®QAR50 可以显示反射和传输损耗以及二者的频率响应。
测量结果
R&S®QAR50 配备强大的计算硬件,能够在短时间内处理大量数据。只需几秒,测试仪即可生成图像和频率图。根据所选参数和待保存的数据,仪器可以实现不足 4 秒的快速测量周期。
从测量参数的角度而言,精度、可靠性和稳健性是测量设备的核心特性。因此,R&S®QAR50 高质量汽车电子天线罩测试仪测量反射而非计算反射。理论上而言,设备可以根据传输相位和传输损耗信息计算反射,但结果并不准确且容易出错。反射会严重影响天线罩和保险杠的雷达性能,因此准确性非常重要。
结果图表显示被测设备反射率(电平)的频率响应,并以 dB 为单位显示特定频率范围内的电平。R&S®QAR50 评估典型雷达频段内和频段周围的电平结果。反射和传输损耗测量均可生成结果图表。这些图表中的 x 轴表示频率,y 轴表示电平或反射率。图表的缩放比例可调。
理想情况下,频率响应最小值应处于和被测设备一起使用的雷达传感器的工作频率范围内。最小值的位置出现偏移,表明被测设备存在电厚度问题,可以对此实施改进。在 fR = 76.24 GHz 时计算相对介电常数 εr:

为了确保出色的测量精度和可重复性,需要定期验证测试仪的测量性能。R&S®QAR50‑Z44 验证组件可用于轻松验证 R&S®QAR50 的反射和传输损耗测量性能。R&S®QAR50-Z44 验证组件是一款独特的解决方案,并且可追溯至国家和国际标准。
设计和验证所用材料的结构时,天线罩和保险杠的特性测试与优化非常复杂,而且成本高昂又耗时。因此,化工公司需要测试和验证聚合物的射频性能,然后再将其塑造成型。
本文所述方法更为简单,能够在早期阶段更快地表征和优化材料。用于确定雷达介电常数的标准化方法可以集成到质量控制阶段。这样可以及早检查材料质量,避免在后期设计阶段产生大量的后续成本。
R&S®QAR50 非常适用于在从设计到生产线末端的所有产品阶段在汽车电子雷达频率范围内表征聚合物及其对汽车电子雷达传感器性能的可能影响。此工具采用创新的硬件概念,测量时间短且操作简单。快捷测量结合简单的用户界面,让操作人员无需掌握特殊的射频或微波知识。