汽车应用的聚合物材料特性分析
汽车雷达传感器隐藏在保险杠中,必须能够在正确的频率范围内发射信号。为了有效隐藏传感器,雷达透明区域和车辆其他部位的喷漆通常一样。选择喷漆和涂料时,需要了解保险杠材料的特性。以前这需要结合使用准光学或波导装置与矢量网络分析仪 (VNA)。本应用说明介绍了一种简单方法,能够使用 R&S®QAR50 汽车天线罩测试仪在 76 GHz 至 81 GHz 的雷达频率范围内分析材料特性。
汽车雷达传感器隐藏在保险杠中,必须能够在正确的频率范围内发射信号。为了有效隐藏传感器,雷达透明区域和车辆其他部位的喷漆通常一样。选择喷漆和涂料时,需要了解保险杠材料的特性。以前这需要结合使用准光学或波导装置与矢量网络分析仪 (VNA)。本应用说明介绍了一种简单方法,能够使用 R&S®QAR50 汽车天线罩测试仪在 76 GHz 至 81 GHz 的雷达频率范围内分析材料特性。

您的任务
汽车保险杠通常是多层结构:基材、底漆、色漆和清漆。基材通常是聚丙烯 (PP) 或聚碳酸酯 (PC) 材料,用于保险杠定型。基材一般最厚,但对雷达信号的影响不一定最大。这个底层可以填充各种材料来改变特性,例如增强抗紫外线性能和刚性,减小雷达衰减。底漆是第二层,有助于色漆更好地附着在基材上。
底漆层的厚度一般为几微米。这一层和其余几层的厚度测量具有不确定度。
第三层是底漆层上面的色漆层。色漆层的厚度取决于喷漆的不透明度,一般非常薄。
为了防止喷漆受到环境影响,会喷涂清漆作为最后一层。
为了估计保险杠的电磁特性,需要准确测量各层的厚度。扫描电子显微镜可以确定每一层的厚度(见图 1)。
图 1:显示汽车保险杠样本的不同层的显微图像,从上到下依次是基材 (PP)、底漆、色漆和清漆。
各层必须单独进行分析。本文使用四个不同样本分别分析每一层的特性:
扫描样本以获得显微图像时,样本会受损。因此,必须在此之前完成上述所有测量。下文将介绍对样本进行的必要射频分析。
罗德与施瓦茨解决方案
使用 R&S®QAR50 估计介电常数
样本的介电常数决定了电磁波穿过材料的速度以及波传播速度的变慢程度。电磁波速度下降,材料内部的波长会减小。假设频率为 f,真空中的光速为 c0,则波长 λ0 可以表示为:

典型的汽车雷达频率:fradar = 76.5 GHz,波长:λ0 = 3.92 mm。
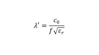
给定材料的相对介电常数为 εr,据此计算出材料内部的波长为:

聚丙烯 (PP) 样板的相对介电常数 εr 约为 2.5,可计算出其内部波长为 λPP = 2.34 mm。介电常数会导致波长减小,如果被测材料 (MUT) 的厚度已知,可以通过相位测量值来计算介电常数。计算过程一般如下所示。
利用相对相位差计算介电常数
R&S®QAR50 在空气传播环境中提供标准测量功能,两个天线簇之间的每种材料都会影响接收天线的相位。为了分析样本特性,我们需要测量 MUT 在测量通路内产生的相位差。
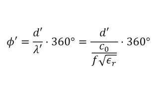
自由空间中穿过距离 d 的相位 Φ(以度为单位)计算如下,以作参考:

穿过厚度为 d’ 的材料的相位 Φ’ 计算如下:

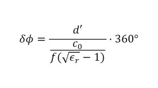
R&S®QAR50 测量的相位变化 δΦ 为 Φ 和 Φ’ 之差,即:

对于厚度为 2.92 mm 的 PVC 板,其介电常数 εr 约为 2.5,因此相位差 δΦ 预计约为 158°。
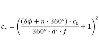
由于我们是使用 R&S®QAR50 测量相位差 δΦ,但希望计算介电常数 εr,因此上述公式必须转换为:

由于相位差可能是 360° 的倍数,因此计算出的介电常数并不固定。可以计算出 n Σ N0 的所有可能解。
如果样本有数层,则除了待测层之外,需要先分析其余的所有层。这样才能对已知层的特性做归一化处理。
R&S®QAR50 的软件可以简化计算。如下方示例所示,介电常数计算器软件利用 R&S®QAR50 提供的准确相位测量结果进行计算。
图 2:底层特性加载到介电常数计算器中。频率为 76.5 GHz、相位差约为 153° 时,计算出介电常数为 εr = 2.47。
喷漆后的保险杠样本特性分析
与上文测量使用同一组样本,各层厚度已知,且各样板有不同的结构层,可用于分析各层特性。关于各层的厚度,可参见图 1。
PP 底板的厚度为 2.92 mm,76.5 GHz 频率下的相位差测量值约为 –153°。将该底板的测量结果输入计算器,可以得出 εr = 2.47。图 2 显示了软件中的计算结果。
下文所述的射频计算工具可以根据最小反射和传输损耗计算出最佳厚度 dopt。最小反射损耗与样本的谐振频率相关,会在材料内半波长的倍数位置处出现:
为了分析其余层的特性,基材必须做归一化处理。现在底漆板的材料介电常数已知,也可以做归一化处理。
在软件中添加归一化层,软件加载下一次测量结果。
做归一化处理时,可以使用上一次测量结果,也可以手动输入涂层的已知厚度和介电常数。本例中归一化层的厚度为 2.92 mm,在软件中手动输入 εr = 2.47,这会显示在界面右侧。根据测得的底漆厚度(见图 1)和 R&S®QAR50 测得的 5.3° 相移,估计底漆层的介电常数为 εr = 18.3。结果如图 3 所示。
图 4:三个已处理样本的显微图像,一些涂层的厚度明显不同。由于比例不同,未展示样本 1(原始 PP 材料)。
分析完第二层后,可以按照上述步骤依次分析其余层。在软件中添加已分析层以做归一化处理,软件会计算介电常数。
由于各样本中涂层的厚度不一,添加归一化层的时候需注意。图 4 为使用光学显微镜为样本拍摄的显微图像。可以看到,中间的样本 3(用于分析色漆层)和右侧的样本 4(用于分析清漆层)的色漆层厚度相差较大。
加载并分析样本后,软件底部将出现结果评估和射频模拟界面,并自动显示样本的特性值。
“R&S®QAR50 归一化结果”会显示 R&S®QAR50 针对所选样本评估区域测量的平均传输相位。在软件顶部输入被测样本的传输相位和厚度,将如上所述计算样本的相对介电常数。R&S®QAR50 能够准确测量传输相位,但计算出的相对介电常数还取决于厚度测量的精度。
测量不准确的影响
进行厚度测量时需留意,因为厚度和相位都会显著影响介电常数的计算值。图 5 和图 6 展示了厚度和/或传输相位测量不准确的影响。根据上述测量,涂层厚度 d = 17.6 µm,相移 ∆φ = –5.3°,计算的介电常数约为 εr = 18.3。为了展示相位和厚度测量不准确的影响,我们针对这两个参数进行典型的测量精度评估:厚度测量精度为 ±2 µm,传输相位测量精度为 ±1°。从图 5 中可以看出,随着测量结果的准确度下降,相对介电常数计算值出现显著变化。测量材料的射频特性和各层厚度需仔细。
如图 6 所示,样板的介电常数为 2.42,厚度为 2.92 mm。使用千分尺测量厚度,测量不确定度变为 ±20µm。相位测量设备不变,因此相位精度不受影响。
介电常数较小且厚度远大于测量不确定度的材料(例如 PC 或 PP)受到的影响也较小。
优化介电特性
为了模拟单独的材料、材料堆并创建天线罩的虚拟副本,必须知道介电常数和损耗因子。相对介电常数 εr 与材料内波长的压缩系数有关,tan δ(损耗因子)则表示从相应层传输出来的信号的特定衰减。
罗德与施瓦茨的介电常数计算器可用于计算这两个参数,非常适合模拟天线罩层。
用于估计介电特性的工具位于介电常数计算器软件的左下角。计算器使用优化程序,会根据介电常数和损耗因子确定最匹配的频率响应测量值和计算值。用户可以选择两种不同的计算方法:
对于大多数材料,这两种方法的优化结果非常相似。这样可以准确测量传输相位,并有助于进行优化。
选择“使用对数刻度 (dB) 优化”后,优化程序将采用对数曲线进行运算,从而更加准确地估计在 R&S®QAR50 频段内具有谐振特性的材料。
为了避免陷入局部最小值,全局优化采用多个接近介电常数计算值的随机分布初始点。
集群 1 (S11) 或集群 2 (S22) 的反射曲线可用于用户的特定应用。
运行优化后,可以绘制频率响应的测量值和计算值。“绘制优化结果”功能使用之前计算的材料特性绘制被测材料(实线)和虚拟材料(虚线)的频率响应。操作人员必须检查这两种方法的优化结果的有效性。图 7 和图 8 展示了软件绘制的优化结果图。图 7 中,根据传输相位获得固定的介电常数。图 8 中,介电常数和损耗角正切值进行了优化以确定最合适的频率响应。
以之前使用 R&S®QAR50 测量的材料为例来估计损耗因子。
图中显示了优化残差。残差越小,拟合效果越好。本例中更合适优化介电常数和损耗因子。评估结果可用于涂层优化工具中的模拟。
加载有效的 R&S®QAR50 测量结果,启用介电常数计算器软件右侧的涂层优化工具。该工具有助于模拟多层喷漆,并评估涂层厚度差异的影响。
起始频率和终止频率表示使用场景中的雷达频段。以单层板为例,使用之前记录的材料参数来创建零部件的数字孪生虚拟副本。“计算最佳厚度”按钮可用于对涂层进行射频模拟。样本材料和厚度的计算结果如图 9 所示。
图 9 显示,单层板的最佳厚度是 2.47 mm。此厚度适用于未喷漆的雷达天线罩。为简单起见,假设只在基材上涂一层,而不是三层(底漆、色漆和清漆)。所添加的涂层厚度为 d = 20 µm,εr = 15,tan δ = 0.02。该层代表汽车行业中常用的喷漆。
图 10:模拟喷涂一层油漆后的板材(d = 20 μm,εr = 15,tan δ = 0.02)
同样,我们希望为该漆层确定最佳基材厚度。我们将该漆层添加到射频模拟工具后,可以执行和图 9 一样的计算操作。假设漆层厚度固定,我们的任务是确定底层的最佳厚度。图 10 展示了射频模拟结果。
从模拟结果可以看出,尽管该层非常薄,但介电常数很大,对雷达性能有着很大的影响。未喷漆板材的理想厚度为 2.47 mm,如果增加漆层,最佳厚度减小为 2.31 mm。
其余层也可以同样进行模拟,从而优化保险杠(或其他层)的厚度。
将鼠标悬停在图中的特定厚度点上并按下“n”,可以激活另一个有用功能。此功能可以为该特定厚度生成频率解析图。用户可以在介电常数计算器的主界面自定义频率范围。
针对不同的厚度和模拟角度,可以计算出上述模拟结果。同样以简化版的涂漆板为例,天线罩相对于雷达的安装角度会影响性能。使用介电常数计算器软件可以确定这种影响。
将安装角度从 10° 变为 20°(这是汽车中的常见安装角度),可以清楚展现入射角的影响。
入射角和相对于入射角的电场极化会影响最佳厚度和优化结果。介电常数计算器可用于模拟电磁入射波的极化角的影响。0° 对应入射面和电磁入射波的电场之间的垂直极化。
总结
介电常数计算器可以与 R&S®QAR50 结合使用,非常适合材料的空口特性分析。根据传输损耗、相位和反射测量,可以计算出被测材料的相对介电常数和损耗因子。使用功能强大的射频模拟工具,可以调整所有层的厚度,确保天线罩在汽车雷达频率范围内性能出色。
介电常数计算器软件可以通过 R&S®QAR50 产品主页免费下载: