距离门拖引干扰双通道测量
使用 R&S®RTP 高性能示波器和 R&S®VSE-K6A 相控阵测量选件
使用 R&S®RTP 高性能示波器和 R&S®VSE-K6A 相控阵测量选件
干扰器和受影响雷达的功率比增加,从而产生干扰。欺骗性干扰则更为恶劣,会逐渐将受影响雷达的干信比 (J/S) 增加到无穷大。首先,欺骗性干扰器根据受影响雷达中测得的目标回波逐步提高干扰脉冲的功率,从而截获受影响雷达的距离和/或速度门。这会导致雷达根据干扰脉冲(又称覆盖脉冲)的功率电平调节自动增益控制 (AGC)。
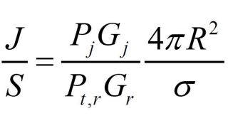
截获 AGC 之后,干扰器开始更改干扰脉冲的频率和延时,以使其不同于干扰飞机的距离和速度(多普勒)。受影响雷达与干扰飞机的距离和速度门“分离”,由于受影响雷达不再测得来自干扰飞机的任何目标回波,因此 J/S 无穷大。Neri1) 推导出的欺骗性自保护干扰相对于相干雷达的 J/S 等式显示出这一点:

其中,Pj 和 Gj 表示干扰器的功率和增益,Pt,r 和 Gr 表示受影响雷达的发射功率和增益,σ 表示干扰飞机的雷达散射截面积 (RCS),R 表示干扰器和受影响雷达之间的距离。受影响雷达被拖引到其他距离或多普勒门而非干扰飞机的距离或多普勒门,RCS 变为零,因此等式中的分母将变为零,J/S 增加到无穷大。
在射频条件下验证欺骗性干扰技术需要使用支持功率和时间的双通道测量接收机。第一个通道测量受影响雷达,这通常在测试期间使用信号发生器进行模拟。第二个通道测量干扰技术。两个通道的相关测量可以揭示 J/S 何时实现以及何时变为无穷大。
示波器是用于双通道比较测量的理想接收机,也是进行定时测量的黄金标准。测试装置包括 R&S®SMW200A 矢量信号发生器以模拟受影响雷达并在干扰器中引起干扰响应,以及 R&S®RTP 高性能示波器以测量并比较受影响雷达和干扰响应。测量可借助示波器应用程序和运行 R&S®VSE-K6A 相控阵测量选件的 R&S®VSE 矢量信号分析软件。
使用示波器的 RGPO 测量:相关功能测量干扰技术和受影响雷达之间的延时。当延时超出干扰飞机的距离范围时,J/S 变为无穷大。
为了使用基础的示波器应用程序测量距离门拖引 (RGPO),触发受影响雷达中第一个脉冲的两个通道(触发设置如下所示)。延长示波器时基以覆盖整个拖引范围。换言之,如果受影响雷达受到的总拖引为 50 μs,则将时基设为 50 μs。使用具有足量分段的快速分段功能捕获干扰技术,然后通过历史功能进行查看。附加的跨通道相关测量能够精确识别每时每刻每个脉冲之间的时间偏移。
R&S®VSE 矢量信号分析软件和 R&S®VSE-K6A 相控阵测量选件还可以测量射频脉冲。软件和选件内置包含脉冲宽度、脉冲幅度、脉冲重复间隔和脉冲频率的脉冲测量功能,并难以在基础的示波器应用程序中进行配置。同时测量两个射频通道时(例如测量 RGPO),R&S®VSE-K6A 选件便于电子战 (EW) 工程师自动测量干扰技术并精确掌握相对定时和幅度情况。
执行 RGPO 测量时,可以启用 R&S®VSE 的脉冲测量通道,并将其连接到 R&S®RTP 高性能示波器。首先,针对受影响雷达的脉冲配置触发。使用触发菜单将 R&S®VSE 触发设为“Manual”(手动)。
在 R&S®VSE 仪器窗口的“Info & Settings”(信息和设置)中,确保“Display Update”(显示更新)已开启。
按下示波器前面板上或浏览器 VPN 连接中的“Local”(本地)按钮。
在测量受影响雷达的示波器通道中设置边沿触发。本例中使用通道 1 进行测量。确保所设置的触发电平远高于示波器的噪声基底,以防止噪声触发测量。
为边沿触发添加一个略长于受影响雷达脉冲的触发抑制。本例中受影响雷达的脉冲宽度为 10 µs。最后,将触发模式设为“Normal”(正常),这样仪器会在满足所有触发条件时捕获一个波形或一组波形段。
返回 R&S®VSE,然后配置数据采集滤波器和采样率。测量脉冲功率和调制时,使用平坦采集滤波器而非高斯滤波器,因为脉冲已自加窗,所以高斯滤波器会造成调制频谱失真。依次通过“Meas Setup”(测量设置)、“Data Acquisition”(数据采集)、“Filter Type”(滤波器类型)进行设置。如果测量脉冲调制,则将采样率和调制带宽相匹配。请注意,增加测量带宽也会增加噪声带宽,并降低测量信噪比 (SNR)。提高信号功率可以改善这一点。
现在,配置分段捕获。使用基础的示波器应用程序时,确保分段长度充足以便捕获相对于受影响雷达中触发脉冲的整个分离情况。
然后,配置显示。点击脉冲幅度显示,然后配置结果范围,确保将参考点和结果范围均配置为“rise”(上升),长度(即分段长度)配置为 50 μs。
关闭对话框,然后使用通道 3 为脉冲幅度增加第二个迹线:这样将能够查看整个分段,并观察相对于受影响雷达脉冲的干扰器脉冲“分离”情况。
然后,点击脉冲结果表,并在“Table Config”(表格配置)选项卡下进行配置。开启“Timing”(定时)一栏,这样受影响雷达和干扰脉冲之间的时间差将显示在脉冲结果表中,并可以在下一步中进行后处理。
最后,点击“Capture”(捕获)按钮,然后等待受影响雷达触发示波器以捕获波形段。
完成捕获后,如下所示的脉冲测量中将显示捕获的波形段。可以滚动脉冲结果表(右上方)查看每个波形段。本例显示来自示波器通道 1 和通道 3 的波形段 52。脉冲幅度显示(底部)显示受影响雷达脉冲(黄色)和干扰脉冲(蓝色)。干扰脉冲的功率更大,并相对于受影响雷达出现延时。
可以将数据导出到电子表格,并运行 Visual Basic 子程序来计算通道 1 和通道 3 中脉冲之间的时间戳或脉冲幅度差,进而自动进行 RGPO 测量。
结果显示在下方的 RGPO 一列中。可以使用相同的代码来计算受影响雷达和干扰器之间的幅度或频率差。
R&S®VSE-K6A 相控阵测量应用程序内置高达 16 GHz 的多通道射频脉冲测量功能,可与 R&S®RTP 高性能示波器结合使用。这个功能强大的工具可用于分析距离门拖引等欺骗性干扰技术和自动执行干扰器测试。