1 MHz 至 50 GHz 直接下变频相位噪声分析仪(利用互相关技术)
新款相位噪声测试仪器覆盖 1 MHz至 50 GHz的频率范围,具有直接下变频模拟 I/Q 混频器和基带信号采样功能。在相位检测和频率跟踪方面,传统的 PLL 已然被数字调频解调器取而代之。附加调幅解调器支持同时测量相位噪声和幅度噪声。在 100 MHz 载波频率和 10 kHz 偏移条件下,该仪器可在两分钟内测量低至 -183 dBc/Hz的相位噪声。
新款相位噪声测试仪器覆盖 1 MHz至 50 GHz的频率范围,具有直接下变频模拟 I/Q 混频器和基带信号采样功能。在相位检测和频率跟踪方面,传统的 PLL 已然被数字调频解调器取而代之。附加调幅解调器支持同时测量相位噪声和幅度噪声。在 100 MHz 载波频率和 10 kHz 偏移条件下,该仪器可在两分钟内测量低至 -183 dBc/Hz的相位噪声。
Gregor Feldhaus,Alexander Roth
罗德与施瓦茨公司(德国慕尼黑)
gregor.feldhaus@rohde-schwarz.com,alexander.roth@rohde-schwarz.com
传统相位噪声分析仪使用模拟锁相环 (PLL) 来弥补本地参考振荡器与被测设备 (DUT) 之间的相位差。要正确设置环路带宽和鉴相器特性,需要深度了解待测振荡器,或者对 DUT 的频率漂移特性进行广泛的预测量。模拟 PLL 的频率响应必须已知或者经过校准,以确保最终测量结果的正确性。此外,模拟 PLL 抑制调幅到相位输出的能力相当差,这种影响近来因互谱崩溃得到广泛关注 [1]。
将鉴相器重定位到数字域的做法可确保设置更加简单,且提高测量精度。数字分量的特性经预先定义,并且可加以补偿以实现绝对精度。在 [2] 中,采集本振和 DUT 的射频波形样本,并且以数字形式计算两者的相位差。然而,载波频率仅限于模数转换器的奈奎斯特频段。借助适用于上述参考振荡器和 DUT 的附加混频器,可将此方法扩展到微波范围 [3]。
本文介绍的替代方法采用了可直接降频转换 DUT 信号的低相位噪声本振。第二条单独的接收路径支持互相关,以抑制两条路径中不相关的噪声。本文所述方法已应用于市售 R&S®FSWP 相位噪声分析仪,此类分析仪专为连续波 (CW) 和 1 MHz至 50 GHz脉冲源的相位噪声与 VCO 测量而设计 [4]。
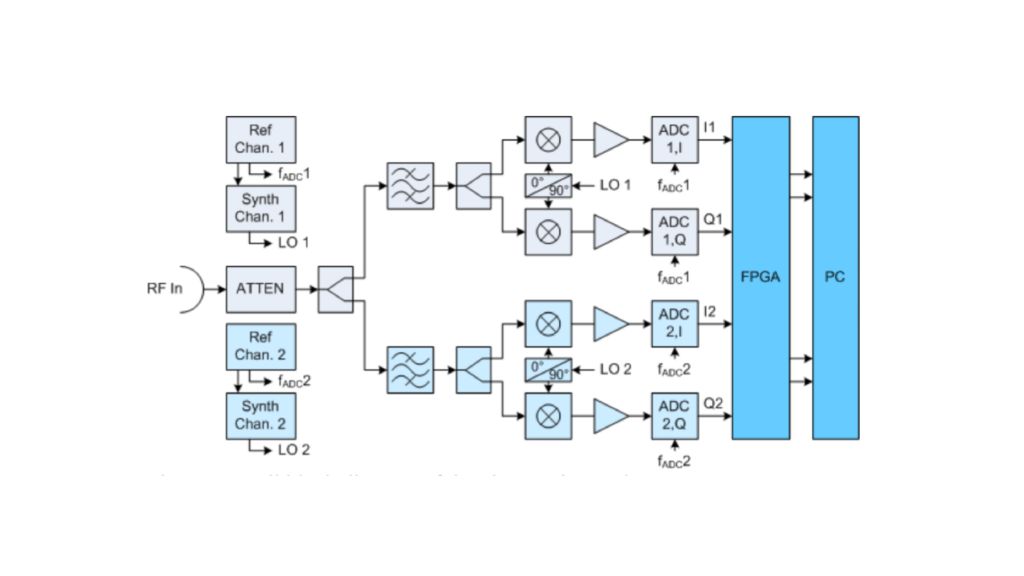
图 1 显示了用于互相关测量的双通道相位噪声分析仪的组件。
输入连接器的射频信号被分为可调衰减器之后的两条单独路径。每条路径都含一个模拟同相/正交 (I/Q) 混频器,可将射频信号转换为两个相位偏移 90° 的模拟低频信号。通道 1 和通道 2 的本振 (LO) 来自两个不同的参考时钟。在低于 0.1 Hz的带宽下,通过 PLL 可将通道 2 的参考振荡器松散耦合到通道 1 的参考振荡器。这有助于在低至 0.1 Hz的频率偏移下实现真正的互相关。
LO 频率和 DUT 频率之间的选择取决于待测的频率偏移。一般情况下,最终 I/Q 信号的中频 (IF) 越低,后续模数转换器的噪声性能越佳,也就是说,选择零点 IF 可带来优势。另一方面,对于自由运行的振荡器,实际射频频率与 LO 频率之间总有偏差,并且这会引发差频谐波。鉴于此,零点 IF 只适用于频率偏移超过 1 MHz的测量;在此情况下,剩余频率偏移的谐波将降低以致无法干扰测量。频率偏移低于 1 MHz的测量使用略高于 1 MHz的中频,且谐波会超出测量范围。
图 2 所示模拟 I/Q 混频器的不足须纳入考量。偏差(理想的相位偏移应为 90°)以及 I 路径与 Q 路径之间的增益差异都会导致 I/Q 失衡,进而还会引起调幅/调相转换。在频域内,IF 的镜像频率点会出现频谱线。LO 馈通使 I/Q 信号的 DC 偏移增加。增益和相位偏移都经过出厂校准(在仪器的频率范围内),且在每次测量之前都应校准 DC 偏移值。FPGA 的数字信号处理路径中实现对这些影响的补偿。
传统模拟 PLL 的调幅抑制为 15 dB 至 30 dB,而这种接收机概念通常有助实现 40 dB的调幅抑制,可降低因反相关调幅/调相转换而导致互谱崩溃的可能性。
模数转换器 (ADC) 的选择对于全数字鉴相器的性能至关重要。具有模拟 PLL 的系统会在采集相位信号样本之前抑制载波,也就是说,只能考虑超出环路带宽的噪声动态范围。在直接下变频和载波采样的情况下,ADC 必须覆盖输入信号的整个动态范围。
图 1 显示了四个 ADC,每个 ADC 都含有四个采样率为 100 MSamples/s的 16 位分辨率并行通道。相对于满刻度值,每个通道都可以实现大约 84 dB 的信噪比 (SNR)。这四个通道经过平均化,使 SNR 额外增加了 6 dB。噪声功率在相位噪声和幅度噪声之间各占一半。因此,对于 ADC 输入达到满刻度值水平的信号,在无进一步互相关增益的情况下,ADC 白噪声与相位噪声的分布表示为
LADC= (– SNR – 10∙log10(fsample) – 3) dBc/Hz。(1)
插入超出 -173 dBc/Hz相位噪声分布的数值,预计可实现优异的稳幅输入信号。第一对 ADC 与第二对 ADC 的外部时钟输入来自不同的参考频率。互相关流程进一步降低因 ADC 时钟抖动导致的相位噪声。
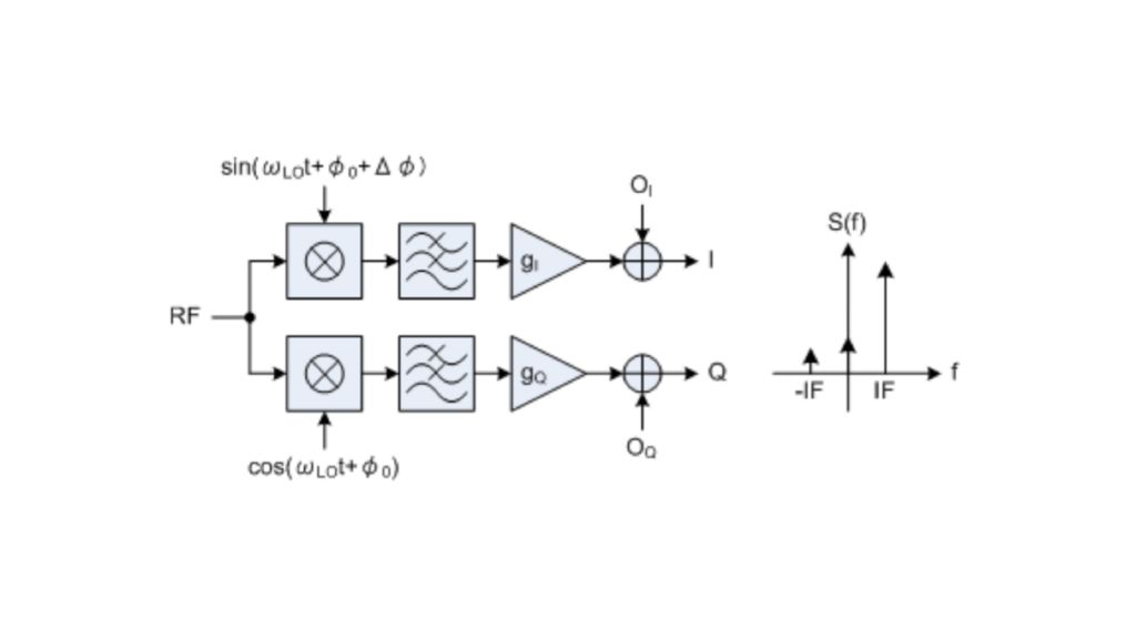
图 3 显示了 I/Q 采样之后的数字信号处理链。
这种结构可在 FPGA 上实施两次,以便进行互相关测量。信号链输入端的均衡器具有两个功能。第一,该均衡器可补偿 I 部分和 Q 部分各单独模拟信号路径中的滤波器的频率响应。第二,该均衡器可补偿模拟 I/Q 混频器引入的 I/Q 失衡和 DC 偏移。均衡信号可通过在数字控制振荡器 (NCO) 中设置的任意频率偏移调整。
这用于将频谱集中在载波频率上。随后的低通滤波器可移除超出所关注频谱的信号部分。
脉冲检波器、静噪和脉冲重复频率 (PRF) 滤波器有助于测量脉冲源,并且可通过旁路以执行标准的 CW 测量。此功能将在第 IV 节详细说明。
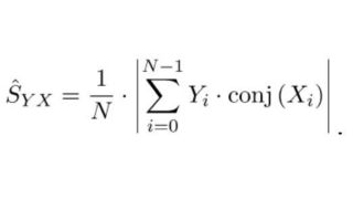
图 4:针对理想 CW 源的调幅和调频解调。
尽管到目前为止信号处理链类似于标准的数字无线电概念,下述调幅和调频解调器则特定于新方法,用户可使用这种新方法同时测量频率偏移高达 30 MHz 的幅度噪声和相位噪声。CORDIC(坐标旋转数字计算机)算法可用于将复杂的基带 I/Q 信号分为幅度和相位分量。
幅度信号可直接用于计算幅度噪声频谱,但必须先将相位信号转换为频率信号,然后才能执行进一步的处理步骤(见图 4)。
一般情况下,自由运行的振荡器将产生对 LO 不利的偏移。这种不可规避的频率偏移会导致相位(覆盖在 ±π 的限制内)呈线性增加。覆盖的相位信号不适用于进一步的下采样和 FFT 处理。很显然,实施到之前 NCO 的反馈以便将 IF 保持在零点是个不错的解决方案。但是,由于高时间常数和困难的位增长要求,数字反馈回路往往存在问题。此处介绍的方法使用相位微分单元作为可靠的前馈结构,并将调相信号转换为非覆盖性调频信号。慢速 DUT 频率漂移被转换为调频信号的低或零值频率分量,该分量不会阻碍后续滤波和 FFT 处理。
据知,模拟调频解调器对近载波相位噪声测量不敏感,因为对于 DC,解调器的频率响应会以每十倍程 20 dB 的比率减少。该斜度必须在最终测量迹线上得到补偿,以便在解调器之后出现的任何白噪声(比如来自放大器或后续 ADC 的白噪声)每十倍程增加 20 dB。但对于 DC,数字调频解调器显示相同的特性。但与模拟解调不同的是,高级 FPGA 的资源可应对所需增加的动态范围。在所示方法中调频解调器之后的数字抽取滤波器可实现 220 dB 的阻带衰减。这涉及在十一倍程范围内的调频解调器的斜度。信号位宽度相应增加,以确保任何量化噪声都远超出调频解调相位噪声。
数字调幅和调频解调器要求载波和完整的双面测量范围位于 I/Q 信号的奈奎斯特带宽内。因此,在整个解调器路径内测量的最大频率偏移应限制为 30 MHz。对于更高的频率偏移,只需测量幅度噪声和相位噪声的总数。在此情况下,数字信号路径允许解调器通过旁路,将 I/Q 数据直接传输到后面的处理器单元,以便进行标准的频谱计算。
调幅和调频解调器方法同样适用于测量脉冲源的相位噪声,不需要使用额外的测试装置。用户可通过预测量确定脉冲参数,例如脉冲电平、脉冲宽度和脉冲重复间隔。利用脉冲调节信号源可使频域内生成梳状谱,逆向脉冲周期内的重复率如图 5 所示。可在最高一半的脉冲重复频率下进行有意义的相位噪声测量。图 3 框图包含一个脉冲重复频率 (PRF) 滤波器,可隔离除主瓣之外的所有重复频谱。滤波器的输出信号与 CW 信号相等,并且同样可通过调幅和调频解调器处理。
在 PRF 滤波之前,可选脉冲检波器和静噪块将脉冲暂停过程中的所有噪声设为零值。这具有显著优势,而模拟脉冲重复滤波器将脉冲暂停的噪声功率加入输出信号。脉冲周期和非脉冲周期内主瓣载波功率之间的差异通常被称为脉冲灵敏度降低系数
脉冲灵敏度降低 = 20 ∙ log10(Twidth/Trep) dB。(2)
在无应对措施的情况下,PRF 滤波器之后的 SNR 会因该系数而下降,并且使相位噪声测量更接近仪器的噪声基底。另一方面,将脉冲暂停设为零值可降低噪声功率
噪声降低 = 10 ∙ log10(Twidth/Trep) dB。(3)
如果两种效果结合,则此处所述脉冲测量方法的灵敏度会下降 10 ∙ log10(Twidth/Trep),仅为 (2) 中整体脉冲灵敏度降低系数的一半。
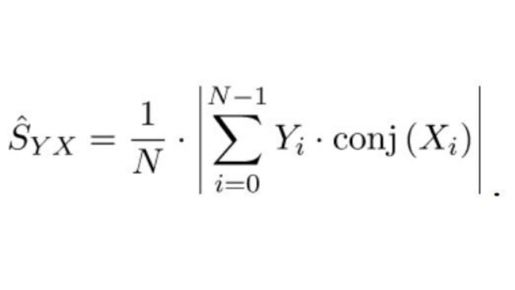
互相关和结果迹线计算可在通过 PCI Express 连接到 FPGA 的标准电脑处理器上进行。频率范围以对数形式分成覆盖大约五倍程的频段,比如 1 Hz至 3 Hz、3 Hz至 10 Hz等。图 6 显示了不同的处理步骤。来自 FPGA 的调幅和调频信号被馈送到环形缓冲器。这些信号经过进一步不断抽取,以允许并行处理多个具有不同分辨带宽的频段。每个频段均可通过 FFT 转换为频域。通过 FFT 结果和下述平均块的复杂结合倍增,用户可了解两条独立信号路径之间的实际互相关性。针对第一通道 X 的 FFT 与第二通道 Y 的 FFT 之间的 N 相关性,功率谱密度估算值可表示为

互相关性使得不相关噪声信号的相位噪声影响(即从射频输入分路器之后产生的仪器噪声)减少 5∙log10(N) dB,其中 N 表示相关次数。只要不相关仪器噪声超过相关的 DUT 噪声,则 (4) 的结果会相应地下降。如果 DUT 的相关噪声开始强于平均的不相关噪声,则 (4) 的结果确定为实际测量结果。
如果已确定的 (4) 结果与不相关输入信号的理论最大下降值之间存在一定差距,则仪器可自动停止测量。这可以避免浪费不必要的测量时间来探究无法进一步改善最终结果的互相关性。
互相关相位噪声分析仪的性能取决于其固有噪声影响和实施多个互相关时的测量速度。所述分析仪的内部本振在相位噪声方面优于大多数可用发生器和噪声源。图 7 显示在 10 秒测量时间内的典型系统噪声基底。
对于高达 1 MHz的频率偏移,测量速度主要取决于实现特定分辨率带宽 (RBW)(具有既定的互相关次数)所需的物理捕获时间。在使用 FFT 的布莱克曼-哈里斯窗和重叠因子为 0.75 的情况下,捕获时间可表示为
Tcapture= 2.0/RBW ∙ (1 + 0.25 (NXCORR-1))。(5)
图 8:Wenzel 100 MHz-SC Golden Citrine 晶体振荡器(输出电平为 19 dBm)的两分钟相位噪声测量。
从更高频率的频段捕获的数据可用于并行计算下级频段。出色的射频性能和智能信号处理相结合,实现非凡的测量速度。图 8 所示为顶级振荡器的相位噪声测量结果(测量仅用时两分钟)。该振荡器也在美国国家标准技术研究所 (NIST) 经过校准,旨在验证测量结果的精确度。
参考
[1] Nelson, C.W.,Hati, A.,Howe, D.A.,“相位噪声测量中的交叉谱函数崩溃”(A collapse of the cross-spectral function in phase noise metrology),《科学仪器评论》,第 85 卷,2014 年
[2] Grove, J. 等,“直接数字相位噪声测量”(Direct-digital phase-noise measurement),《频率控制研讨会暨展览会论文集》,2004 年,第 287 至 291 页,2004 年 8 月 23 至 27 日。
[3] Parker, S.R.,Ivanov, E.N.,Hartnett, J.G.,“将数字噪声测量的频率范围扩展到微波域”(Extending the Frequency Range of Digital Noise Measurements to the Microwave Domain),《IEEE 微波理论与技术汇刊》,第 62 卷,第 2 期,第 368 至 372 页,2014 年 2 月。
[4] 罗德与施瓦茨,《R&S®FSWP 相位噪声分析仪和 VCO 测试仪》,产品手册,2015 年。
© 2016 IEEE。本材料仅限个人使用。在任何现有或未来媒体中的所有其他使用都必须获得 IEEE 许可,包括出于广告或促销之目的重印/重出版本材料、创作新的作品集、转售或再分配到服务器或列表,或者将本材料中任何受版权保护的内容重新用在其他作品中。DOI:10.1109/EFTF.2016.7477759